Q. L1, L2 regularization 을 각각 설명하세요
Q. Ridge와 Lasso의 차이점
Q. L1, L2 regularization 을 각각 설명하세요
딥러닝 모델 과적합을 막는 방법에는 세가지가 있는데
- batch normalization. (배치정규화)
- weight regularization (정규화)
- dropout (학습당시 랜덤으로 절반의 뉴런만 사용하기)
이 중 두번째에 해당되는 것이 L1, L2 regularization 이다.
1. 그럼 궁금한건 L1, L2 regularization
학습을 진행할 때, 학습 데이터에 따라 특정 weight의 값이 커지게 될 수있다.
이렇게 되면 과적합이 일어날 가능성이 아주 높은데,
이를 방지하기 위해 L1, L2 regularization를 사용한다.
각각은 앞서 언급한 l1 -norm , l2 - norm의 컨셉을 가져와 학습에 영향을 미치는 cost function을 조정한다.
1) l1 regularization

더하기 전 좌측이 일반적인 cost function이고 여기에 가중치 절대값을 더해준다.
편미분 을 하면 w값은 상수값이 되어버리고, 그 부호에 따라 +-가 결정됨
가중치가 너무 작은 경우는 상수 값에 의해서 weight가 0이 되어버림.
==> 결과적으로 몇몇 중요한 가중치 들만 남게됨
2) l2 regularization

Cost function에 제곱한 가중치 값을 더해줌으로써
편미분 을 통해 back propacation 할 때
Cost 뿐만 아니라 가중치 또한 줄어드는 방식으로 학습을 한다.
특정 가중치가 비이상적으로 커지는 상황을 방지하고, Weight decay 가능해짐
즉, 전체적으로 가중치를 작아지게 하여 과적합을 방지하는 것.
Q. Ridge와 Lasso의 차이점
선형 회귀 모델에서 L1 규제 를 주는 것이 lasso regression
선형 회귀 모델에서 L2 규제 를 주는 것이 Ridge regression
+) elasticnet 은 두개다 쓰는 것
| 제약식 | L2 norm | L1 norm | L1 +L2 norm |
| 변수선택 | 불가능 | 가능 | 가능 |
| solution | closed form | 명시해 없음 | 명시해 없음 |
| 장점 | 변수간 상관관계가 높아도 좋은 성능 | 변수간 상관관계가 높으면 성능↓ | 변수간 상관관계를 반영한 정규화 |
| 특징 | 크기가 큰 변수를 우선적으로 줄임 | 비중요 변수를 우선적으로 줄임 | 상관관계가 큰 변수를 동시에 선택/배제 |
출처 : ratsgo.github.io/machine%20learning/2017/05/22/RLR/
Regularized Linear Regression · ratsgo's blog
이번 글에서는 회귀계수들에 제약을 가해 일반화(generalization) 성능을 높이는 기법인 Regularized Linear Regression에 대해 살펴보도록 하겠습니다. 이번 글 역시 고려대 김성범 교수님, 같은 대학의 강
ratsgo.github.io
+)) 자세히 설명 정규화 이전 우선 l1, l2 는 뭘 의미 하나 ====================================
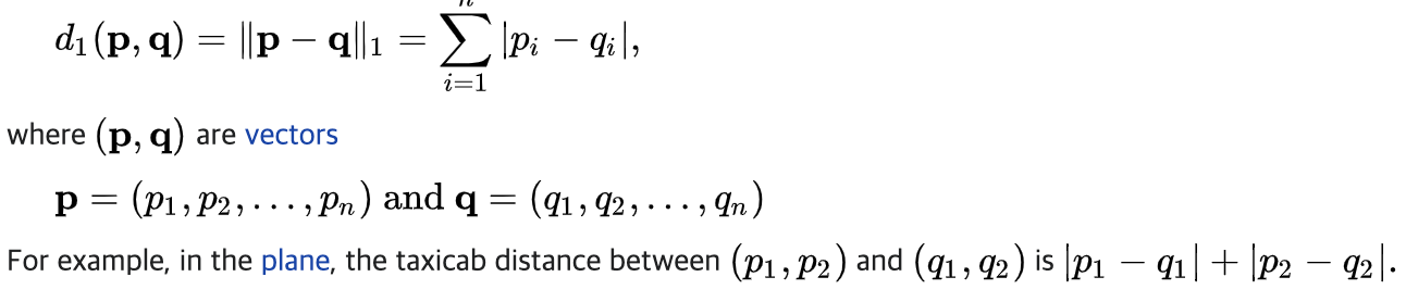
# l1 -norm , l2 - norm
우리는 벡터 간의 거리를 노름(norm) 이라고하고, 여기서 거리를 구할때 두가지 방법으로 나뉘는 데
이때 l1 -norm , l2 - norm 이 있다.

이 그림이 정말 자주 사용되지만, 공식으로 보는게 이해가 편하긴 하다.
1) l1 -norm
l1 -norm 은 결국 두 벡터간의 거리를 절대 값으로 구하는 거고,
\위의 그림에서 초록색을 제외한 모든 경로가 l1 -norm 이라 이해하면 됨

가령 A(0,0) B(1,2) 라면 사이의 l1 -norm 거리는 3
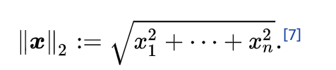
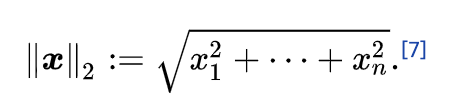
2) l2 -norm
유클리디안 거리 ! 옛날 ㅇ옛적에 배운 유클리디안 거리라고 이해하자

가령 A(0,0) B(1,2) 라면 사이의 l1 -norm 거리는 루트 5
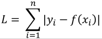
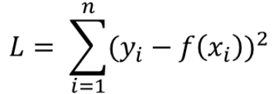
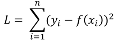
# l1 -loss , l2 - loss
* l1 -loss : 타겟값과 예측값의 차를 절대 값으로 구한것

* l2 -loss : 타겟값과 예측값의 차의 제곱

참고 링크 :
L1, L2 Norm, Loss, Regularization?
정규화 관련 용어로 자주 등장하는 L1, L2 정규화(Regularization)입니다. 이번에는 단순하게 이게 더 좋다 나쁘다보다도, L1, L2 그 자체가 어떤 의미인지 짚어보고자합니다. 사용된 그림은 위키피디아
junklee.tistory.com
딥러닝 용어 정리, L1 Regularization, L2 Regularization 의 이해, 용도와 차이 설명
제가 공부하고 정리한 것을 나중에 다시 보기 위해 적는 글입니다. 제가 잘못 설명한 내용이 있다면 알려주시길 부탁드립니다. 사용된 이미지들의 출처는 본문에 링크로 나와 있거나 글의 가장
light-tree.tistory.com
댓글